les Filtres elliptique
I. INTRODUCTION :
Un filtre est un circuit électronique qui exécute une opération de traitement du signal. C'est à dire, il atténue certaines composantes d'un signal et en laisse passer d'autres.
Un filtre modifie (ou filtre) certaines parties d'un signal d'entrée dans le domaine temporel et fréquentiels. Selon la théorie de Fourier, tout signal réel peut être reconnu comme composé d'une somme de signaux sinusoïdaux (en nombre illimité si indispensable) à des fréquences différentes.
II. BUT DU FILTRAGE
- Sélectionner des parties du signal contenant une information pertinente
- Éliminer du bruit
- Adoucir un signal, éliminer des valeurs aberrantes
- Séparer plusieurs composantes d'un signal
- etc.
III. APPLICATIONS
Les filtres sont aujourd’hui présents dans pratiquement n’importe quel équipement de télécommunication. L’application la plus importante celle liée au multiplexage et démultiplexage fréquentiel des signaux.
On trouve par ailleurs des filtres dans :
- Télécommunications
- Poste radio : sélection de la fréquence de chaque station émettrice.
- Télévision : sélection des chaînes de télévision ou canaux.
- Téléphonie mobile,
- ADSL : sur la même ligne téléphonique peuvent passer tout à la fois une conversation téléphonique BF (basse fréquence : typiquement les fréquences audibles), le signal d'une chaîne télé (HF large bande), et le signal du IP (InternetProtocol).
- Réglage de tonalité dans les appareils audio : équaliseur
- Suspension des véhicules : filtre mécanique amortissant les chocs
- Protection sismique : filtrage des ondes provenant de la rotation de la terre
- Acoustique : séparation des graves et des aigus dans les enceintes
- Compression de données : mp3
- Karaoké
- Imagerie médicale...
IV. DIFFERENTS TYPES DE FILTRES
On classe les filtres en deux grandes familles : ANALOGIQUE et NUMERIQUE.
1. Filtre numérique :
Les filtres numériques sont réalisés à partir de structure intégrée micro programmable (DSP). Ils sont totalement intégrables, souples et performants.
Ils sont utilisés chaque fois que c’est possible. Ils sont pour l’instant limités à des fréquences pas trop élevées (< 100MHz).
On ne les utilisera pas si on doit limiter la consommation et nécessitent un pré-filtrage pour éviter le repliement spectrale avant la numérisation du signal et un post-filtre de lissage.
2. Filtre analogique :
Les filtres analogiques se divisent eux mêmes en plusieurs catégories :
- Les filtres passifs
- Les filtres actifs
V. GABARIT – DEFINITIONS :
Le filtre idéal est irréalisable, les électroniciens ont développé de nombreuses méthodes de synthèse de filtres dont les résultats sont exploitables et transposés au cas discret. Ces méthodes sont basées sur l'approximation d'un gabarit de réponse fréquentielle par une fonction approximante souvent de type polynomial.
La fonction de transfert idéale est représentée en pointillé. Cette fonction est irréalisable et nous tolérons des écarts :
- La transmittance en bande passante peut avoir des "oscillations" limitées à ± δ1
- La transmittance en bande coupée peut aussi avoir des oscillations limitées à δ2.
- Entre la bande passante et la bande coupée il y a une bande de transition de largeur non nulle δω
Toute fonction qui permettra de satisfaire à ces tolérances sera jugée satisfaisante.
VI. DEFINITION DU FILTRE ELLIPTIQUE :
Les filtres elliptiques, appelés également filtres de Cauer, en hommage au théoricien qui en exhiba le premier l'intérêt, sont des filtres dont la réponse est caractérisée par une ondulation tant en bande passante qu'en bande atténuée. Cauer a montré qu'ils sont optimaux en ce sens qu'aucun filtre, à ordre donné, ne présente une coupure plus raide que les filtres elliptiques. Mathématiquement, ces filtres font appel au formalisme des transformations conformes, ils s'appuient donc sur la théorie des fonctions elliptiques de Jacobi, d'où leur nom.
VII. CARACTERISTIQUE :
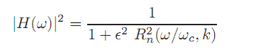
La forme générale du gain fréquentiel d’un filtre elliptique est la suivante :
- optimaux en termes de bande de transition
- ondulation en bande passante et atténué
- calcul de la fonction de transfert complexe
- fonction caractéristique sous la forme d’une fraction rationnelle
VIII. POLES ET ZEROS
1. Zéros de transmission
2. Pôles
IX. DETERMINATION DE L’ORDRE DU FILTRE :
- Il y a deux méthodes pour définir l’ordre
- Fonction ellipord de Matlab
- Utilisation des abaques
X. COMPARAISON
Finalement, on choisit son filtre en fonction des besoins : ondulations, raideur
XI. CONCLUSION
Les filtres elliptiques correspondent à Une famille de filtres dont les ondulations sont présentes dans la bande passante Et dans la bande atténuée .Les taux d’ondulations sont des paramètres à valeurs déférentes dans chacune des deux bandes Aucun autre filtres d’ordre identique n’a une largeur de transition (de gain) aussi faible. C’est pour cette raison que les filtres elliptiques sont parfois appelés filtres optimaux. Les filtres de Cauer(ou elliptiques) possèdent des zéros de transmission dans la bande atténuée ; ce sont des filtres à réponse optimale car leur ordre est le plus faible pour satisfaire un gabarit donné.
Cependant, ils restent les plus difficiles à analyser et à réaliser par des outils simples.
XII. BIBLIOGRAPHIE :
http://wapedia.mobi/fr/Filtre_elliptique
http://www.traitement-signal.com/filtre_(electronique).php
http://www.absoluteastronomy.com/topics/Elliptic_filter





